加热催化式

我的位置: 首页 > 产品中心 > 加热催化式

GTS-100-HC

  • 所属分类:加热催化式
  • 浏览次数:
  • 发布时间:2025-09-24 09:53:18
  • 详情信息
  • GTS-100-HC 设备工作原理

    PFC催化剂设备流程

    GTS-100-HC 参数

    加热催化特性:

    采用催化吸附一体的高效处理方式

    加热温度低

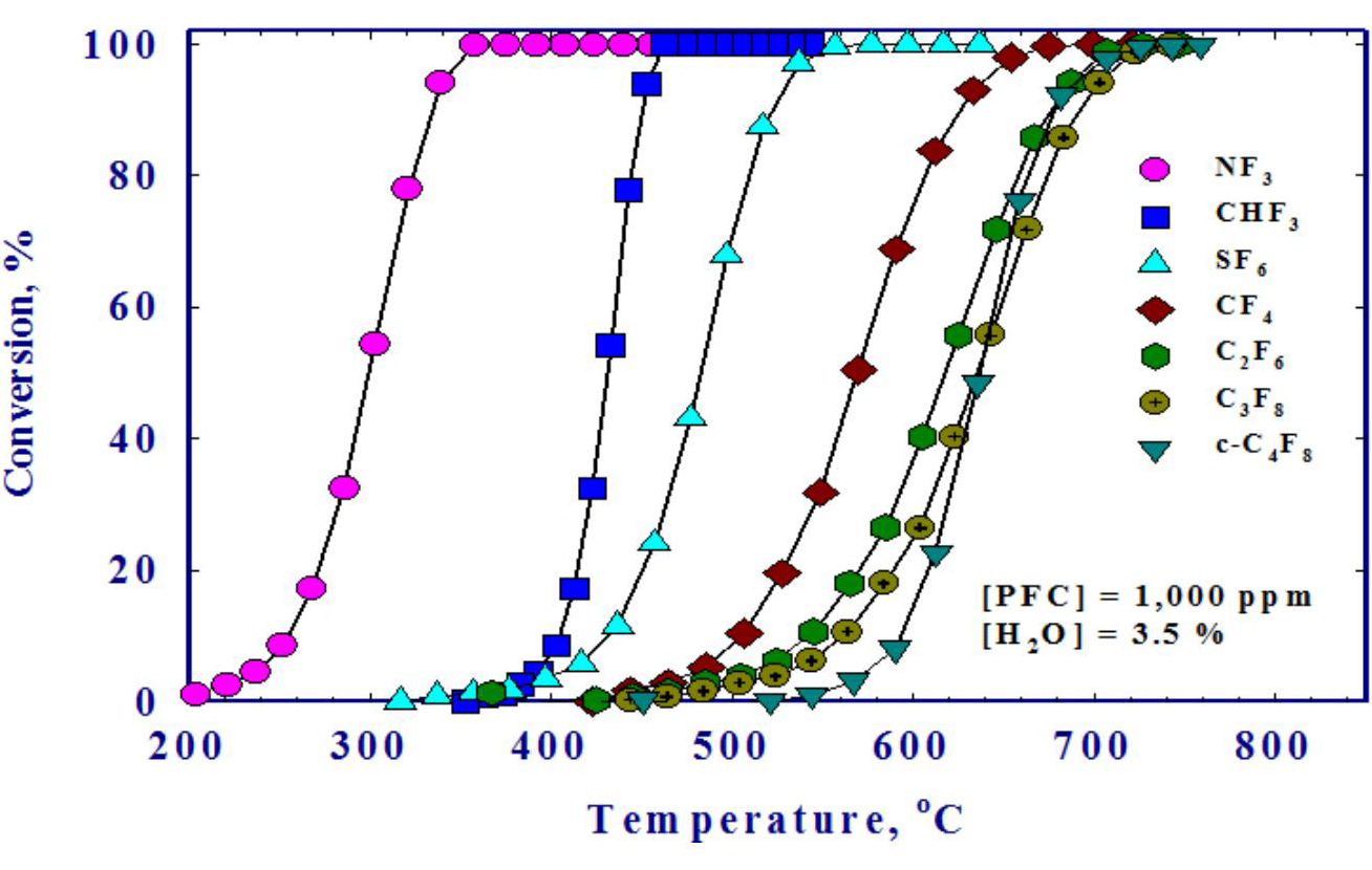
    主要处理NF3,C5F8,CF4等PFC气体

    处理效率99%

    耗能少,运行稳定

    适用于流量小,高浓度的气体处理,例如特气房的废气处理


    GTS-100-HC 各类PFC气体裂解曲线图

     

    上一篇:
    下一篇: